Rincian 12+ contoh surat pemberitahuan habis masa jabatan bpd. Surat Pemberitahuan Berakhir Masa Jabatan. Pemberitahuan akhir masa jabatan kepada yth. Pemberitahuan Tempat Sehubungan dengan menjelang akhir masa jabatan. Baca juga contoh:surat dan contoh surat pemberitahuan habis masa jabatan bpd Jika contoh surat diatas bermanfaat jangan lupa untuk like dan share kepada teman anda yang lain melalui tombol dibawah.
Contoh surat bpd untuk kepala desa cuitan dokter. Contoh Surat Pemberitahuan Akhir Masa Jabatan Kades dari BPD.
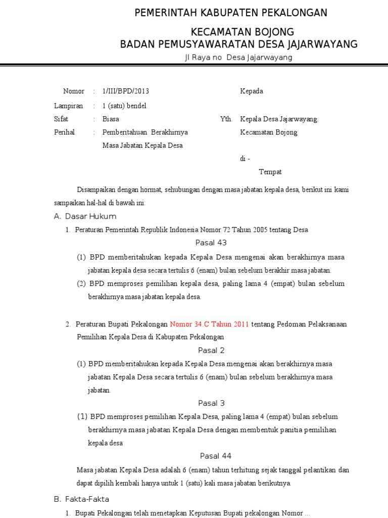
Surat Pemberitahuan
| Judul: Surat Pemberitahuan |
| Format: Doc |
| Ukuran surat: 3.4mb |
| Ukuran kertas: HVS |
| Tanggal pembuatan Surat Pemberitahuan: Juni 2021 |
| Jumlah halaman Surat Pemberitahuan: 149 Halaman |
| Lihat Surat Pemberitahuan |
Terima kasih telah mengunjungi blog contoh seputar surat 2019.
Surat Pemberitahuan Berakhir Masa Jabatan. Contoh surat pemberitahuan habis masa jabatan rt. KECAMATAN CIASEM KABUPATEN SUBANG KANTOR. - 1 - I. TAHAPAN PERSIAPAN PEMILIHAN KEPALA DESA CONTOH 1 tentang Surat BPD kepada Kepala Desa Pemberitahuan Akhir Masa Jabatan Kepala Desa. Kop surat bpd nomor.
S Jdih Wonosobokab Go Id Media Upload 20180302111039 Perbup No 21 Th 2012 Pdf
| Judul: S Jdih Wonosobokab Go Id Media Upload 20180302111039 Perbup No 21 Th 2012 Pdf |
| Format: PPT |
| Ukuran surat: 1.4mb |
| Ukuran kertas: Folio |
| Tanggal pembuatan S Jdih Wonosobokab Go Id Media Upload 20180302111039 Perbup No 21 Th 2012 Pdf: Agustus 2017 |
| Jumlah halaman S Jdih Wonosobokab Go Id Media Upload 20180302111039 Perbup No 21 Th 2012 Pdf: 199 Halaman |
| Lihat S Jdih Wonosobokab Go Id Media Upload 20180302111039 Perbup No 21 Th 2012 Pdf |
Lamp Perbup No 5 2016 Authorstream
| Judul: Lamp Perbup No 5 2016 Authorstream |
| Format: PDF |
| Ukuran surat: 800kb |
| Ukuran kertas: A4 |
| Tanggal pembuatan Lamp Perbup No 5 2016 Authorstream: November 2018 |
| Jumlah halaman Lamp Perbup No 5 2016 Authorstream: 152 Halaman |
| Lihat Lamp Perbup No 5 2016 Authorstream |
Surat Pemberitahuan Berakhir Masa Jabatan
| Judul: Surat Pemberitahuan Berakhir Masa Jabatan |
| Format: PPT |
| Ukuran surat: 810kb |
| Ukuran kertas: A4 |
| Tanggal pembuatan Surat Pemberitahuan Berakhir Masa Jabatan: Januari 2021 |
| Jumlah halaman Surat Pemberitahuan Berakhir Masa Jabatan: 155 Halaman |
| Lihat Surat Pemberitahuan Berakhir Masa Jabatan |

Contoh Surat Pemberitahuan Akhir Masa Jabatan Kepala Desa Dari Bpd Format Administrasi Desa
| Judul: Contoh Surat Pemberitahuan Akhir Masa Jabatan Kepala Desa Dari Bpd Format Administrasi Desa |
| Format: PDF |
| Ukuran surat: 1.6mb |
| Ukuran kertas: A3 |
| Tanggal pembuatan Contoh Surat Pemberitahuan Akhir Masa Jabatan Kepala Desa Dari Bpd Format Administrasi Desa: Mei 2018 |
| Jumlah halaman Contoh Surat Pemberitahuan Akhir Masa Jabatan Kepala Desa Dari Bpd Format Administrasi Desa: 231 Halaman |
| Lihat Contoh Surat Pemberitahuan Akhir Masa Jabatan Kepala Desa Dari Bpd Format Administrasi Desa |

Contoh Dok Kelengkapan Pilkades Pancawati
| Judul: Contoh Dok Kelengkapan Pilkades Pancawati |
| Format: PDF |
| Ukuran surat: 1.4mb |
| Ukuran kertas: Letter |
| Tanggal pembuatan Contoh Dok Kelengkapan Pilkades Pancawati: Oktober 2017 |
| Jumlah halaman Contoh Dok Kelengkapan Pilkades Pancawati: 300 Halaman |
| Lihat Contoh Dok Kelengkapan Pilkades Pancawati |
Surat Pemberitahuan Berakhir Masa Jabatan Pdf
| Judul: Surat Pemberitahuan Berakhir Masa Jabatan Pdf |
| Format: PPT |
| Ukuran surat: 6mb |
| Ukuran kertas: A4 |
| Tanggal pembuatan Surat Pemberitahuan Berakhir Masa Jabatan Pdf: Oktober 2017 |
| Jumlah halaman Surat Pemberitahuan Berakhir Masa Jabatan Pdf: 258 Halaman |
| Lihat Surat Pemberitahuan Berakhir Masa Jabatan Pdf |
Surat Pemberitahuan Akhir Masa Jabatan Kuwu Pdf
| Judul: Surat Pemberitahuan Akhir Masa Jabatan Kuwu Pdf |
| Format: JPG |
| Ukuran surat: 3.4mb |
| Ukuran kertas: A4 |
| Tanggal pembuatan Surat Pemberitahuan Akhir Masa Jabatan Kuwu Pdf: Februari 2019 |
| Jumlah halaman Surat Pemberitahuan Akhir Masa Jabatan Kuwu Pdf: 163 Halaman |
| Lihat Surat Pemberitahuan Akhir Masa Jabatan Kuwu Pdf |

Contoh Surat Pemberitahuan Habis Masa Jabatan Bpd Contoh Seputar Surat
| Judul: Contoh Surat Pemberitahuan Habis Masa Jabatan Bpd Contoh Seputar Surat |
| Format: Doc |
| Ukuran surat: 3.4mb |
| Ukuran kertas: Letter |
| Tanggal pembuatan Contoh Surat Pemberitahuan Habis Masa Jabatan Bpd Contoh Seputar Surat: November 2017 |
| Jumlah halaman Contoh Surat Pemberitahuan Habis Masa Jabatan Bpd Contoh Seputar Surat: 160 Halaman |
| Lihat Contoh Surat Pemberitahuan Habis Masa Jabatan Bpd Contoh Seputar Surat |

Contoh Surat Pemberitahuan Bpd Kepada Kepala Desa Contoh Seputar Surat
| Judul: Contoh Surat Pemberitahuan Bpd Kepada Kepala Desa Contoh Seputar Surat |
| Format: PPT |
| Ukuran surat: 2.2mb |
| Ukuran kertas: HVS |
| Tanggal pembuatan Contoh Surat Pemberitahuan Bpd Kepada Kepala Desa Contoh Seputar Surat: Agustus 2021 |
| Jumlah halaman Contoh Surat Pemberitahuan Bpd Kepada Kepala Desa Contoh Seputar Surat: 217 Halaman |
| Lihat Contoh Surat Pemberitahuan Bpd Kepada Kepala Desa Contoh Seputar Surat |

Contoh Dokumen Kelengkapan Pilkades
| Judul: Contoh Dokumen Kelengkapan Pilkades |
| Format: JPG |
| Ukuran surat: 6mb |
| Ukuran kertas: A4 |
| Tanggal pembuatan Contoh Dokumen Kelengkapan Pilkades: April 2018 |
| Jumlah halaman Contoh Dokumen Kelengkapan Pilkades: 173 Halaman |
| Lihat Contoh Dokumen Kelengkapan Pilkades |

Contoh Surat Pemberitahuan Akhir Masa Jabatan Kepala Desa Kumpulan Surat Penting
| Judul: Contoh Surat Pemberitahuan Akhir Masa Jabatan Kepala Desa Kumpulan Surat Penting |
| Format: PDF |
| Ukuran surat: 1.9mb |
| Ukuran kertas: Letter |
| Tanggal pembuatan Contoh Surat Pemberitahuan Akhir Masa Jabatan Kepala Desa Kumpulan Surat Penting: Juli 2018 |
| Jumlah halaman Contoh Surat Pemberitahuan Akhir Masa Jabatan Kepala Desa Kumpulan Surat Penting: 237 Halaman |
| Lihat Contoh Surat Pemberitahuan Akhir Masa Jabatan Kepala Desa Kumpulan Surat Penting |
Contoh Surat Pemberitahuan Akhir Masa Jabatan Kades dari BPD - Salah satu kegiatan dalam tahapan persiapan Pemilihan Kepala Desa Pilkades adalah pemberitahuan Badan Permusyawaratan Desa BPD kepada Kepala Desa tentang akhir masa jabatan yang disampaikan 6 enam bulan sebelum berakhir masa jabatan. TAHAPAN PERSIAPAN PEMILIHAN KEPALA DESA CONTOH 1 tentang Surat BPD kepada Kepala Desa Pemberitahuan Akhir Masa Jabatan Kepala Desa. Contoh surat pemberitahuan habis masa jabatan rt.
Demikianlah Informasi contoh surat pemberitahuan habis masa jabatan bpd, Surat Permohonan Rekomendasi Pemberhentian Perangkat Desa adalah surat permohonan secara tertulis yang diajukan oleh Kepala Desa kepada Camat untuk meminta atau memohon agar diberikan Rekomendasi Pemberhentian Jabatan Perangkat Desa. 27 kumpulan contoh memo resmi tidak resmi pribadi. Lamp perbup no 5 2016 authorstream surat pemberitahuan berakhir masa jabatan pdf contoh dokumen kelengkapan pilkades s jdih wonosobokab go id media upload 20180302111039 perbup no 21 th 2012 pdf contoh dok kelengkapan pilkades pancawati contoh surat pemberitahuan bpd kepada kepala desa contoh seputar surat, semoga membantu.
Tidak ada komentar:
Posting Komentar